一种离轴抛物面准直光管的设计
QooIC.com 新闻出处:电子市场 | 发布时间:2010/11/17 16:59:33
1 引言
离轴反射式光学系统,由于其结构简单,无色差,口径适用范围大,故已经越来越被人们所重视,并广泛地应用于辐射校准、宽波段的目标模拟及检测等工程领域中。本文论述的离轴抛物面准直光管是用于为某可靠性测试设备提供红外模拟目标源。
2 结构选择
折射式光学系统由于受光学材料的限制,很难做到大口径和轻量化设计,反射系统受材料限制较小,便于轻量化设计,完全没有色差,系统透过率高。同轴反射系统视场小,中心遮拦的存在严重影响了成像的像质。离轴三反射系统不存在中心遮拦,而且可优化变量多提高光学系统视场大小的同时极大地改善了系统成像质量。但考虑到工程应用的实际需求,采用离轴两反系统,并且根据平衡像差的需要,对主反射镜进行高次处理,且在次反射镜后加一组透镜。
二次非球面几何焦点的无像差特征,使其在大,口径光学系统中被广泛地运用。由于离轴抛物面镜反射式平行光管中心区域没有遮拦,具有其他形式平行光管无法比拟的优势。离轴抛物面反射镜是该准直光管的主要组成部件,其加工和检测难度较高,近几年随着需求的增大,关于改善其加工工艺和检测精度的方法屡见报道。
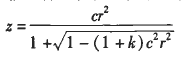
轴对称二次曲面方程一般表示为:

式中,Z为曲面上各点沿光轴方向坐标;K为二次曲面常量;r为光线与曲面交点高度;c为顶点曲率;坐标原点为曲面顶点。
对称回转高次非球面有偶次非球面、奇次非球面两类,它们可以用以下方程式表示:
偶次非球面:

式中,C=1/R1,R为非球面顶点的曲率半径;K=-1,表示抛物面;a1,a2,a3,为抛物面待修剪高次项系数。
在此系统中主镜采用抛物面镜,对其面型进行2次,4次,6次修剪,主镜与次镜优化组合以对球差得到较好校正,但残余慧差、像散较大,今在次反射镜后加补偿透镜组,使其自身校正色差且与前镜组像差匹配,最后达到满意的效果。
3 优化设计过程
在优化之初,先把主抛物面镜顶点曲率半径、主次镜间距、主镜高次系数作为变量,优化使像质改善,多次过后可对2次,4次,6次系数进行人为的微调找到平衡点,后再次优化。
将次反射镜的倾斜和偏心量单独作为变量,进行优化。由于软件在自动优化时,只考虑系统达到最好像质,系统会以减小倾斜量和偏心量,趋向于同轴系统来达到提高像质的目的。在系统存在遮拦问题时,需要手动调节后,重新进行优化。若不能提高像质,再将高次非球面系数、主镜顶点曲率半径、主次镜间距均设定为变量,进行优化,使系统的像质相对满足要求。
由于将主镜顶点曲率半径、主次镜间距、次反射镜的倾斜、偏心量、高次非球面系数均设定为变量,优化后的系统结构会有所变化,原来的倾斜和偏心量就未必能满足要求,需要再次调节。
为了进一步提高成像质量,在上述优化已达到相对理想的结构基础上,以补偿镜组自身校正色差且平衡补偿前镜组的像散、慧差,最终达到较为理想像质要求。
4 设计结果
优化所得的准直光学系统如图1所示,系统由主抛物面镜,次反射镜及补偿镜组成。主抛物面镜为6次方非球面。补偿透镜组的局部放大图如图2所示。


此光学系统对波长0.8μm,1.1μm,1.4μm的M吓曲线如图3所示,对应点列图如图4所示。可以看出其调制传递函数已经接近衍射极限,点列图也较理想。
5 结论
本文给出了一种离轴抛物面型准直光管的优化设计结果,其技术参量与像质均满足使用要求。