低压配电变压器节能关键技术研究
QooIC.com 新闻出处:电子爱好者博客 | 发布时间:2013/12/26 14:12:02
摘要:变压器是电网中最重要的电力设备,其数量多,总的电能损耗很大。据统计,配电变压器的电能损耗约占输配电系统电能损耗的30%,因此,降低配电变压器的能耗,已成为最重要最紧迫的任务之一。
本文针对低压配电变压器的节能关键技术进行研究,分析配电变压器各种损耗的产生机理以及降低损耗的方法,对现有配电变压器运行特点和数据加以对比研究和数据挖掘,优化调整配电网运行电压和智能控制三相负荷实时平衡,实现配电变压器节能降耗经济调度运行目标,是节能降耗的重要技术,具有较大的工程实际研究意义。
0 引言
变压器是配电网中不同电压等级电能间相互转换的主要设备,在电能生产、输送、调度分配等过程中起到非常重要的作用。变压器在电力系统中的使用数量极其广泛,从发电、输电、配电及用电各环节构成的电力系统来看,电能从发电厂输出到用户使用一般需要3~5次的变压过程。根据国内外的统计数字,运行变压器的容量通常是发电容量的4~7 倍,是运行电机容量的5~8 倍,这就决定了变压器必须是一个高效能的设备。尽管如此,但因其数量多,容量大,所以在广义电力系统运行中,变压器总的电能损耗约占发电量的10%.这对全国而言,意味着全年变压器总的电能损耗为1 000多亿kWh,这相当于一个较大电力系统的发电量。变压器损耗约占电力系统线损的50%,在农电系统中变压器损耗占农电网中损耗的60%~70%.因此,开展配电变压器经济运行,降低变压器损耗,是实现电力系统经济运行的重要环节,是节约电能的重要手段。
1 现状研究
变压器在电力系统中的使用数量极其广泛,并且其造成的电能损耗约占发电量的10%,因此,开展变压器经济运行,采用新型节能型变压器,降低变压器损耗,是实现电力系统经济运行的重要环节和节约电能的重要手段之一。为了降低变压器损耗,提高变压器的运行可靠性,各国都深入研究变压器的电磁原理,利用变压器容量与损耗之间的关系,变压器与运行成本之间的关系,试图推导出特种变压器的基本电磁关系。在国外,日本、美国、德国、瑞士等国家相继采用IEC76标准对变压器进行细分。挪威电力研究中心O.W. Andersen 利用有限元法开发的变压器漏磁场分析软件,能够准确计算短路阻抗、涡流损耗和短路机械力。美国非晶合金在配电变压器中的应用情况,美国是世界上最早开发非晶合金材料和非晶变压器的国家,据不完全统计,到2000年美国非晶合金配电变压器已占配电变压器总数的20%左右。非晶合金配电变压器在美国具有美好的情景,美国能源部(DOE)宣布,油浸式、中压干式以及低压干式配电变压器协商规则制定工作小组在2011 年10 月12 日至14日召开公开会议,将根据《能源政策节约法案》,讨论并制定配电变压器的节能标准。
我国变压器的发展经历了几个阶段,国家在节能方面的重视从未发生过改变。20世纪80年代中期,我国政府强制性地采用S7系列低损耗配电变压器在全国范围内淘汰正在电网运行的JB1300?73 和JB500?64 标准的高能耗变压器。从1998 年开始,我国政府又不惜代价地在全国推行两网改造,用S9系列配电变压器取代S7系列。与S9一样,作为第七代节能产品的还有非晶合金变压器、卷铁芯变压切、全密封变压器等。但这先后两次全国大规模的更新换代,新产品仅比老产品降低空载损耗8%~15%.目前市场上已经出现了比S9系列更节能的产品,如S10,S11 系列等。同时,国内在节能型变压器相关方面也取得了不少有价值的理论和实验成果。相关文献对配电变压器无功功率的节能做了探讨,并进行可行性分析,提出从提高负载功率因数降低变压器无功功率消耗节能是一种不增加投资或少量投资而受益显着的有效方法,并通过分析了变压器运行效率曲线,探讨了变压器的高效经济运行负载区最佳运行方式,并指出择优选取最佳运行方式和按变压器经济运行条件来调整负载,在供电量相同时,能降低变压器损耗,同时以变压器综合功率损耗最小,对变压器的经济运行进行了优化,对配电变压器的经济运行区间和最佳运行区间进行了分析,以及对多台配电变压器并列运行时,负载的经济分配进行了分析等研究成果。这些主要技术措施,从而有效地提高配电变压器综合利用效率水平。
2 节能关键技术
2.1 变压器材料
节能型变压器对损耗的降低主要是通过导磁材料(硅钢片)和导电材料(无氧铜导线或铜箔)技术的发展而实现的。近年来主要是薄硅钢片的改进与发展。另外非晶材料的发展也促进了变压器的发展。自20世纪80 年代非晶合金铁心商业化以来,已经有几十万台非晶合金配电变压器在世界各地应用。非晶合金配电变压器的铁芯是由厚度为普通硅钢片1 10 的非晶合金材料制成,这种非晶合金材料具有高磁导率、低矫顽力、高电阻率、低铁损的特点。因此,非晶合金配电变压器比硅钢片配电变压器空负荷损耗将降低70%~80%、空载电流可下降80%左右,在节电降耗方面具有绝对的优势,但是这种依靠改进材质来降低变压器损耗的方式受到科学技术发展程度的制约,而且价格偏高导致市场推广度不高。
相比而言,非晶合金铁心变压器具有无噪音,低损耗的特点,其空载损耗为普通产品的20%,且非晶变压器还有其他优势:实现完全密封、不需维护、运行费用相对较低。现阶段,S11节能变压器系列是在市面广泛推广的节能变压器,与上一代S9系列产品比较参数可得,S11空载损耗比S9系列低75%左右,负载损耗则与S9系列基本相同。表1为S11型变压器与S9型变压器损耗比较。
2.2 变压器节能运行
从大量实际运行经验来看,当配电变压器运行过电压水平达到5%时,其内部铁损将会增加15%,而当变压器过电压水平达到10%运行时,其内部铁损则会增加高达50%以上,且变压器空载电流也会大幅度提升,从而增加配电网的无功损耗总量。所以,配电变压器在实际运行过程中,通过相应设备控制避免其出现过电压运行工况,一方面可以延长变压器使用寿命,另一方面可以降低变压器内部铁损和激磁损耗,保证其高效稳定运行。自动调压器是一种可以自动跟踪配电网输入电压变化(主要由负载波动引起),而保证电压恒定输出的三相自耦变压器,它可以在配电网处于20%波动范围内,对输入电压进行动态实时调节。
正常情况下,如果客户提供单一的设备容量也不算大,选择一个以上的变压器,可经济运行,并能提高供电可靠性。当变电站配有两个或两个以上的变压器,变电站的负载的变化导致变电站通常需要进行投入或切除的变压器的操作。满足负荷的电力变压器,应考虑经济运行,所谓的变压器经济运行,即是变压器的功率损失最小的操作模式,其功率损耗最低,运营成本最低。在可满足负荷要求的情况下,可要求暂停使用一个变压器,用以减少维持变压器运行的费用。
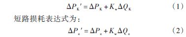
空载损耗表达式为:
式中:Kw -指无功功率的经济当量,其定义为在电力系统中每增加1 kvar的无功损耗,所需要消耗的有功功率(kW·h),一般情况下此值取0.07~0.1 kW/kvar.
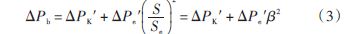
在负荷率β时,变压器运行时的功率损耗表达式如下:
显然,式(3)中的ΔPK′ 和ΔPe ′ 两个变量被认为是从空载功率损耗和短路功率损耗值损失的有功功率和无功功率。
当变电站有两台以上不同类型不同容量的变压器,同理可作出在各种运行曲线下变压器的有功损耗,并根据在不同负载的有功功率损耗最低的原则,确定经济运行变压器的方式。
配电变压器三相负荷不平衡也是其产生巨大能耗的主要原因,当配电变压器处于三相平衡负荷运行工况条件下,其负载损耗最小;而当变压器处于三相负荷不平衡运行工况下,其总能耗为三相损耗的总和,尤其当变压器运行在最大三相不平衡状态下,其系统损耗就是平衡负荷时损耗的3 倍。配电变压器处于三相负荷不平衡运行工况条件下,不仅会增加自身能耗,同时还会增加一次高压侧线路损耗,据大量实际运行经验表明,配电变压器处于最大不平衡运行工况时,其高压线路的电能损耗会增加12.5%.
3 结语
开展分析配电变压器各种损耗的产生机理以及降低损耗的方法,对基于实时数据库的配电网数据进行挖掘,采用信息融合方法分析出系统的经济运行区间和最佳运行区间,来优化控制无触点自动调压器和三相负载平衡,这将有助于配电变压器节能降耗技术,推进节能型变压器实用化进程,在理论和实践中均有重要的研究价值。



